ارزش گذارایی دارایی های سرمایه ای با استفاده از مدل CAPM

ارزش گذارایی دارایی های سرمایه ای با استفاده از مدل CAPM
مدل CAPM یا Capital Asset Pricing Model یکی از تئوری های رایج قیمت گذاری دارایی های سرمایه ای است که برای اولین بار در اوایل دهه 1960 بوسیله افرادی مانند ویلیام شارپ (William Sharpe)، جک تنیور (Jack Treynor)، جان لینتنر (John Lintner) و جان موسین (Jan Mossin) مورد استفاده قرار گرفت.

  دانلود گزارش دوره ای 

ارزش گذارایی دارایی های سرمایه ای با استفاده از مدل CAPM

 

تاریخچه

مدل CAPM یا Capital Asset Pricing Model یکی از تئوری های رایج قیمت گذاری دارایی های سرمایه ای است که برای اولین بار در اوایل دهه 1960 بوسیله افرادی مانند ویلیام شارپ (William Sharpe)، جک تنیور (Jack Treynor)، جان لینتنر (John Lintner) و جان موسین (Jan Mossin) مورد استفاده قرار گرفت. مدل CAPM رابطه بین ریسک های نظام مند، مخاطرات عمومی سرمایه گذاری، و بازدهی مورد انتظار را برای یک دارایی شرح می دهد. در واقع CAPM یک مدلی مالی است که بین RISK و بازده مورد نیاز دارایی ها یک رابطه خطی برقرار می کند. این مدل براساس یک شاخص ریسک تغییرات قیمت دارایی یا سهام ( آن را با β نمایش می دهیم)، نرخ سود RISK-FREE و تفاضل بین نرخ بازده مورد انتظار بازار و و نرخ سود بدون ریسک (که Risk premium نامیده می شود) نرخ تنزیل مورد نظر را برای محاسبه ارزش حال یک دارایی محاسبه می کند.
از CPAM به عنوان یک مدل برآرود نرخ ریسک استفاده شده است. همچنین این مدل در بازار اوراق بهادار برای قیمت گذاری سهام های مختلف در شرایط عدم اطمینان به طور گسترده ای بکار آمده است.

محاسبه CAPM

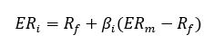
اگر ERi بازده مورد انتظار یک Rf ،asset  نرخ سود ریسک-Bi، free نشان دهنده ضریب همبستگی قیمت دارایی مورد نظر نسبت به سایر دارایی ها و < ERm-RF>  هزینه ریسک بازار ، Market Risk Premium،  باشند آنگاه نرخ بازدهی دارایی iام از رابطه زیر به دست خواهد آمد:
1  به عبارت ساده تر، سرمایه گذاران انتظار دارند تا در ازای سرمایه  خود نرخ سودی را که هم منعکس کننده ارزش زمانی پول (time value of money) و هم ریسک بازار باشد را دریافت نمایند. بنابراین Rf در فرمول بالا منعکس کننده ارزش زمانی پول و سایر آیتم ها نیز معرف تعدیلات ریسکی خواهند بود. در نهایت هدف CAPM تعیین این موضوع است که آیا ارزش یک سهم و یا دارایی به صورت منصفانه (fairly) برآورد شده است یا خیر. در حقیقت در CAPM با مقایسه بین ریسک یک دارایی و ارزش زمانی پول در مقایسه با بازده مورد انتظار آن، به سوال مذکور پاسخ داده شده است. 

CAPM و ضریب بتا

ضریب بتا برای یک سرمایه گذاری احتمالی نشان دهنده رابطه خطی بازده یک دارایی با بازده سایر دارایی های بازار است. اگر Re بازده سرمایه گذاری یک سهام باشد آنگاه بتا از رابطه زیر قابل محاسبه خواهد بود:
santa
اگر یک سهام دارای ریسک بیشتری نسبت به بازار باشد، آنگاه بتا بزرگتر از واحد خواهد شد. در مقابل و بر اساس فرمول بالا اگر بتا کوچکتر از یک شود آنگاه اضافه نمودن یک سهام جدید به portfolio ریسک کلی را کاهش خواهد داد.
بتای محاسبه شده در بالا در هزینه ریسک بازار (-Rf ERm)  ضرب خواهد شد تا تفاوت بین بازده مورد انتظار بازار و نرخ بهره بدون ریسک، منعکس کننده نرخ سود پوشش دهنده ریسک باشد. طبق فرمول CAPM بدیهی است که از جمع نرخ سود risk-free با عبارت قبل، بازده مورد انتظار دارایی به دست خواهد آمد. از نرخ نهایی به عنوان یک نرخ تنزیل برای محاسبه ارزش فعلی مورد انتظار تمام بازدهی های یک سهام استفاده خواهد شد.
یک مثال
تصور کنید که سرمایه گذاری در نظر دارد تا سهام یک شرکت را به قیمت 100 هزارتومن برای هر سهم خریداری نماید. لازم به ذکر است که در پایان هر سال، سود تقسیم شده سهام 3 درصد می باشد. تصور کنید که این سهام یک بتایی برابر با 1.3 دارد (یعنی اگر شاخص قیمت بازار یک واحد تغییر کند این سهام  در همان جهت و به میزان 1.3 برابر بازار تغییر خواهد کرد). همچنین تصورنمایید که نرخ سود بدون ریسک برای مثال 3 درصد باشد و براساس آمار سال گذشته، سرمایه گذار انتظار 8 درصد رشد بازار را داشته باشد. در این شرایط نرخ بازده مورد انتظار 9.5 درصد خواهد بود:

santa

از این نرخ برای تنزیل سود تقسیم شده سالانه و عایدی ناشی از تغییرات قیمت سهام مورد نظر استفاده می شود. حال دیگر کار ساده خواهد بود! اگر ارزش مورد انتظار محاسبه شده بیشتر از 100 هزارتومان برای هر سهم شود، آنگاه سرمایه گذاری توجیه خواهد داشت.

مشکلات CAPM

فروض غیر واقع بینانه: برخی از فروش این مدل ممکن است که در واقعیت وجود نداشته باشند. برای مثال ممکن است که در بلند مدت و یا حتی میان مدت ضریب بتا تغییرات قیمت یک سهام را توضیح ندهد. به عبارت ساده تر، ضریب بتا از یک رابطه خطی محاسبه شده حال آنکه ممکن است که قیمت سهام با شاخص قیمت بازار یک رابطه غیر خطی و non-linear داشته باشد (http://www-personal.umich.edu/~kathrynd/JEP.FamaandFrench.pdf). انتقاد دیگر استفاده از بتا به عنوان شاخص ریسک است. در واقع می توان استدلال کرد که تغییرات قیمت افزایشی و یا کاهشی یک سهم نمی تواند به یک اندازه منعکس کننده ریسک باشد. همچنین در محاسبه بتا از داده های گذشته استفاده می شود و از آنجایی که این داده ها از توضیح نرمال پیروی نمی کنند، شاخص بتا استاندارد نخواهد بود. اشکال دیگر CAPM، ثابت فرض نمودن نرخ بازده بدون ریسک است. ممکن است به دلایل مختلف در طول دوره تنزیل این نرخ تغییر نماید. بنابراین محاسبه نرخ بازده مورد انتظار یک دارایی با خطا مواجه خواهد شد.
تخمین هزینه ریسک: سبد بازاری که سرمایه گذاران برای محاسبه هزینه ریسک انتخاب می نمایند فرضی است. برای مثال ممکن است سرمایه گذاران نرخ رشد یک بازار مشابه را به عنوان نرخ رشد بازار مورد نظر خود انتخاب کنند که این امر خطای محاسبات مالی را افزایش خواهد داد.
جدی ترین انتقادی که به CAPM وارد است این است که فرض می شود که جریانات نقدی آینده یک سهام یا دارایی را می توان تخمین زد تا آن را تنزیل نمود. در صورت تخمین جرایانات نقدی آینده با یک دقت بالا، محاسبات CAPM بی معنی خواهد بود.

 

CAPM  و منحنی کارایی نهایی (Efficient Frontier)

فرض کنید که برای بهینه نمودن یک سبد سرمایه گذاری از CAPM استفاده شده است. در این صورت، ثابت شده است که در صورتی که سرمایه گذاران بازده مورد انتظار یک دارایی را متناسب با ریسک و ارزش زمانی پول تنزیل نمایند سبد بهینه سهام همواره بر روی منحنی کارایی نهایی قرار خواهد گرفت.

CAPM  و منحنی کارایی نهایی (Efficient Frontier)

با توجه به نمودار هر چه ریسک بزرگتر باشد، به یک بازدهی مورد انتظار بیشتر برای جبران آن ریسک نیاز خواهد بود. این موضوع در "خط بازار سرمایه" در شکل بالا نشان داده شده است. توجه نمائید که بر طبق تئوری جدید سبد سهام یا  Modern portfolio theory نقاط پایین تر از خط بازار سرمایه غیر بهینه و "پست" خواهند بود. در نتیجه محل تماس منحنی کارایی نهایی و خط بازار سرمایه، نقطه بهینه برای یک سبد سرمایه گذاری خواهد بود.
نکته مهم دیگر هم شکل منحنی کارایی نهایی خواهد بود. با توجه به اینکه برای سرمایه گذاران تعیین یک نقطه بر روی منحنی کارایی نهایی که متناسب با خط بازار سرمایه باشد عملی بسیار سخت خواهد بود، این احتمال وجود دارد که سرمایه گذاران ریسک طرح را بسیار کمتر پیش بینی نموده و لذا بازدهی کمتری را نیز طلب نمایند (نقاط پایین خط بازار سرمایه و روی منحنی کارایی نهایی).

 

بتا و خط بازار اوراق بهادار

مصالحه یا tradeoff میان ریسک و بازده را می توان در شکل زیر نمایش داد. توجه نمائید که در محور افقی نمودار زیر از شاخص بتا برای انعکاس ریسک سرمایه گذاری استفاده شده است؛ زیرا تخمین بازده مورد انتظار دارایی (که برای محاسبه منحنی کارایی نهایی مورد لازم است) عملا کاری غیر ممکن است. با استفاده از شاخص بتا می توان فرض کرد که برای مثال هنگامی که این شاخص از یک به دو افزایش یابد، بازده مورد انتظار نیز در یک رابطه متناسب خطی با آن افزایش خواهد یافت.

 بتا و خط بازار اوراق بهادار

جمع بندی

CAPM بر مبنای فروض زیر بنا شده است:

  • بطور طبیعی تمامی سرمایه گذارن ریسک گریز (Risk-averse) هستند.
  • تمامی سرمایه گذاران دارای یک زمان یکسان برای تحلیل و ارزیابی اطلاعات هستند.
  • در نرخ بازدهی بدون ریسک، سرمایه نامحدودی برای قرض گرفتن موجود است.
  • سرمایه گذاری به واحدهای نامحدود و اندازه های متفاوت قابل تقسیم است.
  • مالیات وجود ندارد.
  • تورم وجود ندارد.
  • هزینه های معاملاتی (Transaction costs) صفر می باشند.
  • بازده و ریسک بصورت خطی (Linear) با یکدیگر رابطه دارند. 

هر چند که تاکنون این فروض به دلایلی مانند غیر واقعی و یا حتی اشتباه بودن مورد مورد انتقاد بسیاری قرار گرفته است (برای مثال https://doi.org/10.1086/499143)،  اما باید توجه نمود که این مدل یک تحلیل ارزشمندی را از رابطه بین ریسک و بازده سرمایه گذاری ارائه می دهد. لذا CAPM با توضیح رفتار سرمایه گذاران در یک شرایط ایده آل، یک تحلیل پایه را فراهم نموده است.

 

 

 
۱۰ اردیبهشت ۱۴۰۲
تعداد بازدید : ۲,۱۸۲
کد خبر : ۱۳۳

نظرات بینندگان

برای نظر دادن ابتدا باید به سیستم وارد شوید. برای ورود به سیستم روی کلید زیر کلیک کنید.